溫度對生物組織的效應
台大皮膚科/ 台大生醫電資所 王修含 醫師
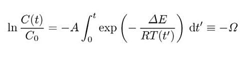
不同溫度會造成不同的組織熱效應,影響熱治療效果。在溫度高於體溫5◦C之內的範圍內,也就是小於42◦C的情形下,生物組織不會出現可量測的變化。當溫度昇高至42-50◦C時,組織開始出現分子構形的改變,伴隨著鍵結的破壞與細胞膜變化。高熱狀態持續數分鐘後,一部份的組織可能出現壞死,存活細胞的比例可透過Arrhenius方程式(Arrhenius’ equation)來估算:

其中C0代表初始的分子或細胞濃度,C(t)表示在時間t的濃度,R代表通用氣體常數(universal gas constant),ΔE 與 Ω 各自代表特定的組織性質,A為Arrhenius常數,其近似值如下:

其中T為溫度,ΔS為活化熵(activation entropy),k為Boltzmann常數,h為Planck常數。
若溫度超過50◦C,則生物系統內的酵素活性將出現下降的情況,降低細胞內部的能量傳遞,導致細胞活動力下降,同時細胞的修復機制也會受損,使存活的細胞比例進一步減低。小於60◦C的治療,皆稱為「高熱治療」 (hyperthermia)時。
當溫度達到60◦C時,組織外觀開始出現變白的情況,成因於膠原蛋白與細胞內蛋白質開始變性(denaturation),使得組織凝結與細胞壞死,因此許多熱治療的治療目標,皆訂於大約等於或略高於60◦C的目標溫度。
若組織溫度大於80◦C,細胞膜的穿透性將大幅增加,破壞細胞內部的化學濃度平衡。當溫度達到100◦C,組織內的水分子開始汽化,由於水的汽化熱(vaporization heat)相當高,達到2253 kJ/kg,所以在汽化的同時,也會帶走多餘的熱能,阻止治療區域附近的正常組織累積過多的熱量,可避免不必要的傷害。皮膚科常用於除痣、磨皮的鉺雅克雷射(波長2940 nm)治療,就是利用此原理,汽化皮膚以移除病灶。水分子汽化時,體積會迅速擴大,產生氣泡並造成局部機械性破壞,使組織消融,此現象稱為熱分解(thermal decomposition)。
若所有的水分子都汽化完畢,但熱源仍持續供應,組織溫度就會高於100◦C,同時出現碳化現象,組織外觀變成黑色,同時產生煙霧。當組織溫度超過300◦C,若大於組織熔點,將會出現熔化的現象。
雷射造成的組織熱效應整理如下表:
溫度 | 組織的熱效應 |
37◦C | 正常體溫 |
45◦C | 高熱治療(hyperthermia) |
50◦C | 1. 酵素活素降低 2. 細胞活動力下降(immobility) |
60◦C | 1. 蛋白質與膠原蛋白變性 2. 組織凝結,細胞壞死 |
80◦C | 細胞膜通透性大增 |
100◦C | 1. 水分子汽化 2. 熱分解(thermal decomposition/ ablation) |
> 100◦C | 碳化(carbonization) |
> 300◦C | 熔化(melting) |
細胞出現不可逆的傷害後,會出現壞死的現象,但細胞開始壞死的溫度並非定值,除了溫度之外,要造成組織壞死,尚需考慮該治療溫度的持續時間,例如60◦C的溫度持續6秒後,可形成不可逆的傷害,但在50◦C之下,可能需要持續150秒才可得到相同的治療效果。
參考文獻: Niemz MH, “Laser-Tissue Interactions: Fundamentals and Applications”, Springer Berlin Heidelberg, New York, 3rd enlarged ed. (2003). ISBN: 978-3-540-72191-8
沒有留言:
張貼留言
注意:只有此網誌的成員可以留言。